Komunikasi Data dan Jaringan:Konsep Internetworking
← Komunikasi Data dan Jaringan:Komunikasi Data Digital • Home • Komunikasi Data dan Jaringan:Model Referensi OSI →
Network: Menghubungkan dua komputer atau lebih sehingga memungkinkan untuk saling bertukar data
Internetworking: Menghubungkan Dua Network atau lebih
Dalam prakteknya, internetworking di Implementasikan pada WAN.
Contohnya untuk menghubungkan LAN yang ada pada satu gedung ke Gedung Lainnya, dari satu divisi ke divisi lainnya, dari kantor ke kantor lainnya tanpa mengenal batas Geografi dengan memanfaatkan Teknologi Komunikasi.
Hardware penghubung jaringan
- Hub
- Switch
- Repeater
- Router
- Bridge
- Access point
- Converter
- Kabel atau wired
- NIC
- Hub: Berfungsi untuk menghubungkan beberapa komputer sekaligus
- Switch : Switch memiliki kemampuan yang lebih pintar daripada hub, karena switch mampu membatasi dan juga mengatur jumlah paket data yang ditransmisikan ke dalam komputer client yang terhubung dalam jaringan, informasi yang dicek oleh switch adalah alamat MAC address dari setiap perangkat dan komputer yang tersambung dengan dirinya
- Repeater: Berfungsi menerima sinyal dari satu segmen kabel LAN dan memancarkannya kembali dengan kekuatan yang sama dengan sinyal asli pada segmen (satu atau lebih) kabel LAN yang lain
- Router: Digunakan untuk menghubungkan satu jaringan dengan jaringan lainnya untuk mendapatkan route (jalur) terbaik. Sebagai penghubung antar dua atau lebih jaringan yang akan meneruskan data dari satu jaringan ke jaringan lainnya. eperti contoh, router dapat menghubungkan dua LAN yang berbeda atau untuk menghubungkan data link LAN dengan data link WAN.
- Access point: Digunakan untuk memancarkan sinyal wireless yang diterima dari router ataupun broadband untuk membuat suatu jaringan WLAN atau wireless area network
- Bridge: Berfungsi menghubungkan beberapa jaringan terpisah meneruskan paket dari satu segmen LAN ke segmen lain, tetapi bridge lebih fleksibel dan lebih cerdas daripada repeater. Semua LAN yang terhubung dengan bridge dianggap sebagai satu subnetwork
- Converter: Converter dapat dianggap sebagai tipe devais yang berbeda daripada repeater, bridge, router, atau switch dan dapat digunakan bersama-sama. Converter (kadang disebut gateway) memungkinkan sebuah aplikasi yang berjalan pada suatu sistem berkomunikasi dengan aplikasi yang berjalan pada sistem lain yang berjalan di atas arsitektur network berbeda dengan sistem tersebut
- Kabel atau wired: Kabel yang digunakan adalah jenis kabel UTP atau Unshielded Twisted Pair, Coaxial, dan juga kabel Fiber Optic
- NIC atau Ethernet Card: Ethernet card merupakan kartu jaringan yang ditanamnkan pada komputer, yang mana akan membuat sebuha komputer mampu terhubung ke dalam jaringan LAN.
Dari beberapa katagori device di atas, lebih mudah menentukan kapan menggunakan Hub, Switch, Repeater, Access point dan konverter dalam situasi internetwork. Keputusan mengenai pemilihan penggunaan router atau bridge merupakan keputusan yang lebih sulit.
Cara kerja internet
Ketika dua komputer berkomunikasi, Anda harus menghubungkannya, baik secara fisik (biasanya dengan menggunakan Kabel Ethernet) atau nirkabel (seperti sistem WiFi atau Bluetooth).
Semua komputer modern dapat memungkinkan koneksi tersebut.

Jaringan seperti itu tidak terbatas pada dua komputer. Anda dapat menghubungkan banyak komputer sesuai keinginan.
Tapi dapat menjadi rumit. Jika Anda mencoba menghubungkan, sepuluh komputer, Anda memerlukan 45 kabel, dengan sembilan colokan per komputer!

Untuk mengatasi komputer di masalah jaringan ini, setiap terhubung ke perangkat kecil khusus yang disebut hub, switch, router,
Setelah kita menambahkan hub, atau switch atau router ke sistem, jaringan dari 10 komputer kita hanya membutuhkan 10 kabel: satu pasang untuk setiap komputer dan perangkat dengan 10 colokan

Bagaimana cara menghubungkan ratusan, ribuan, miliaran komputer? Kita dapat menggunakan perangkat Router. Dengan menghubungkan tiap komputer ke router, kemudian tiap router ke router, kita dapat menskalakan tanpa batas
Contoh jaringan di bawah bisa kita sebut dengan nama Internet.

Bagaimana jika ada jaringan lain misalkan milik tetangga, teman atau siapapun yang memiliki jaringan komputer sendiri. Tetapi tidak memungkinkan untuk menggunakan kabel di antara jaringan kita dan jaringan luar tersebut. Bagaimana cara kita mengatasinya ?
Untuk menghubungkan jaringan kita ke jaringan dengan infrastruktur lain, kita memerlukan peralatan khusus yang disebut modem. Modem ini mengubah informasi dari jaringan kita menjadi informasi yang dapat dikelola oleh infrastruktur telepon dan sebaliknya

Langkah selanjutnya adalah mengirim pesan dari jaringan kita ke jaringan yang ingin dijangkau. Untuk melakukan itu, kita akan menghubungkan jaringan ke Penyedia Layanan Internet (ISP). ISP adalah perusahaan yang mengelola beberapa router khusus yang menghubungkan semua bersama-sama dan juga dapat mengakses router ISP lain. Jadi pesan dari jaringan kita dibawa melalui jaringan jaringan ISP ke jaringan tujuan. Internet terdiri dari seluruh infrastruktur jaringan ini.

Cara kerja internet Mencari komputer Tujuan
Jika Anda ingin mengirim pesan ke komputer, Anda harus menentukan komputer mana. Jadi setiap komputer yang terhubung ke jaringan memiliki alamat unik untuk mengidentifikasinya, yang disebut "alamat IP" (di mana IP adalah singkatan dari Internet Protocol). Ini adalah alamat yang dibuat dari serangkaian empat angka yang dipisahkan oleh titik- titik, misalnya: 192.168.2.10.
Namun manusia memiliki waktu yang sulit mengingat alamat semacam itu. Untuk mempermudah, kita bisa mengubah alamat IP dengan nama yang dapat dibaca manusia disebut nama domain. Misal, google.com adalah nama domain yang digunakan di atas alamat IP 173.194.121.32. Jadi menggunakan nama domain adalah cara termudah bagi kita untuk mencapai komputer melalui Internet.
Dampak Komponen Infrastruktur Dalam Jaringan Sederhana LAN
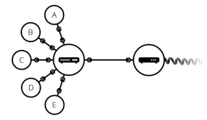
Gambar ini menunjukkan jaringan area lokal (LAN) dasar yang terhubung menggunakan hub, yang pada dasarnya hanyalah perangkat lama yang menghubungkan kabel bersama.

Pada jaringan LAN dengan menggunakan HUB jika jaringan terlalu besar maka akan menyebabkan ganggun BROADCAST domains dan CONGESTION Domain (kemacetan).
Cara kerja BROADCAST Domain yaitu mengirimkan pesan ke semua kontak yang kita punya, sedangkan kontak yang tidak dikenal ,tidak akan tahu mengenai pesan tersebut. Pada sebuah jaringan,komputer mengirimkan pesan data broadcast, maka komputer yang satu segmen akan menerima paket tersebut.
CONGESTION Domain adalah, lalu lintas network yang melampaui kemampuan network menanganinya
Kemungkinan penyebab CONGESTION Domain
- Terlalu banyak Host
- Broadcast Strom (badai broadcast)
- Multicasting
- Bandwith yang kecil
Untuk menangani nya kita harus membagi sebuah network yang besar menjadi network-network yang lebih kecil dinamakan network segmentation yang bisa dilakukan dengan menggunakan router, switch, dan bridge
Gambar ini menunjukkan jaringan yang telah tersegmentasi dengan sebuah switch, menjadikan setiap segmen jaringan yang terhubung ke switch dapat memisahkan CONGESTION Domain sendiri-sendiri.

Gambar ini menggambarkan sebuah router di jaringan yang sedang berkembang, menciptakan jaringan internet dan memecah broadcast domains.

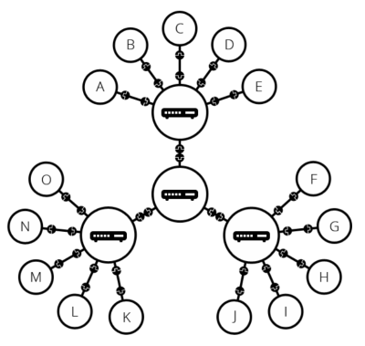
Gambar disamping menunjukkan bagaimana jaringan akan terlihat dengan semua perangkat internetwork

Teknologi LAN
LAN (Local Area Network) dalam jaringan komputer merupakan salah satu jenis jaringan yang paling sering digunakan dalam perusahaan. LAN (Local Area Network) memiliki beberapa teknologi, antara lain
- Ethernet
- Fast-Ethernet
- Giga-Ethernet
- Virtual LAN
Ethernet
Ditemukan oleh Bob Metcalfe dan D.R. Boggs pada tahun 1970. Di standarisasi dengan nama IEEE 802.3 pada tahun 1980. menggunakan spesifikasi 10BASE-T. Angka 10 melukiskan kecepatan 10MBPS, BASE adalah singkatan dari baseband, dan T adalah singkatan dari Thick Ethernet
Ethernet menggunakan teknologi Carrier Sense Multi Access / Collision Detection (CSMA / CD) untuk mendeteksi collision. di Ethernet, jika terjadi collision semua hosts melakukan roll back, menunggu beberapa waktu, untuk mengirim kembali data
Konektor Ethernet adalah network interface card yang dilengkapi dengan alamat MAC 48-bit menyediakan kecepatan transmisi hingga 10MBPS dan menggunakan kabel koaksial atau kabel twisted pair Cat-5 dengan konektor RJ-45. Ethernet mengikuti topologi star dengan panjang segmen hingga 100 meter. Semua perangkat terhubung ke hub / switch dalam topologi star.
Fast-Ethernet
- Fast-Ethernet merupakan pengembangan dari ethernet
- Bisa berjalan di UTP, fiber optik, dan tanpa kabel
- Bisa memberikan kecepatan hingga 100 MBPS pada fiber
- Standar diatas dinamakan sebagai 100BASE-T di IEEE 803.2 menggunakan kabel twisted pair cat-5
- Menggunakan teknik CSMA / CD untuk berbagi media kabel di antara host ethernet dan teknik CSMA / CA (CA singkatan dari collision avoidance) untuk LAN ethernet nirkabe.
- Untuk menghindari collisions.CSMA/CA menghabiskan traffic karena sebelum ada data ditransmisikan ia akan mengirim sinyal broadcast pada jaringan untuk mendeteksi skenario atau kemungkinan terjadinya collision dan memerintahkan semua perangkat untuk tidak broadcast
Giga-Ethernet
Diperkenalkan pada tahun 1995, Fast Ethernet dapat menikmati status kecepatan tinggi hanya selama 3 tahun sampai Giga-Ethernet diperkenalkan.
Giga-Ethernet menyediakan kecepatan hingga 1000 mbits / detik. IEEE802.3ab mengstandarisasi Giga-Ethernet melalui UTP menggunakan kabel Cat-5, Cat-5e dan Cat-6. IEEE802.3ah mendefinisikan Giga-Ethernet over Fiber.
Virtual LAN
Kumpulan perangkat di satu atau lebih jaringan LAN yang dikonfigurasikan oleh perangkat lunak sehingga perangkat dapat berkomunikasi satu sama lain seolah-olah perangkat tersebut terpasang pada saluran yang sama dimana Perangkat sebenarnya menaungi sejumlah segmen LAN yang berbeda.
VLAN dibuat dalam jaringan pihak ketiga, tetapi VLAN hanya sebagian kecil dari jaringan IP yang terisolasi secara logis.
Topologi Jaringan Komputer
Topologi Jaringan adalah pengaturan dimana sistem komputer saling terhubung. Topologi dapat menentukan aspek fisik dan logika jaringan. Baik topologi logika dan fisik bisa sama atau berbeda dalam jaringan yang sama.
Topologi Jaringan memiliki jenis-jenis seperti:
- Topologi Point-to-Point
- Topologi Bus
- Topologi Star
- Topologi Ring
- Topologi Mesh Tree
- Topologi Daisy Chain
- Topologi Hybrid
Point-to-point
Jaringan Point-to-point berisi dua host seperti komputer, switch atau router, server yang terhubung kembali menggunakan kabel tunggal

Topologi Bus
Dalam topologi Bus, semua perangkat berbagi jalur komunikasi tunggal atau kabel. Topologi bus mungkin bermasalah saat beberapa host mengirim data secara bersamaan.
Oleh karena itu, topologi Bus menggunakan teknologi CSMA/CD atau mengenali satu host sebagai Bus Master ntuk memecahkan masalah ini.
Topologi Bus adalah salah satu bentuk jaringan sederhana dimana kegagalan perangkat tidak mempengaruhi perangkat lain. Tapi kegagalan jalur komunikasi bersama bisa membuat semua perangkat lain berhenti berfungsi.

Topologi Star
Semua host di topologi Star terhubung ke perangkat pusat, yang dikenal sebagai perangkat hub, menggunakan koneksi point-to-point. Artinya, ada satu titik untuk menunjuk koneksi antara host dan hub. Perangkat hub bisa berupa salah satu dari berikut ini:
- Layer-1 device seperti hub atau repeater
- Layer-2 device seperti switch atau bridge
- Layer-3 device seperti router atau gateway